Два мини-кейса на тему «во сколько покупать рекламу?»

Есть ли вообще разница в том, во сколько покупать рекламу? В том смысле, в какое время дня это делать лучше и результативнее? Конечно, есть! Есть покупки, которые совершаются пользователями чаще утром – например, заказ канцелярских товаров или бутилированной воды в офис. А есть такие заказы, которые оформляются чаще вечером  — они связаны с личными покупками.  […]

Поделиться:

Есть ли вообще разница в том, во сколько покупать рекламу? В том смысле, в какое время дня это делать лучше и результативнее?

Конечно, есть! Есть покупки, которые совершаются пользователями чаще утром – например, заказ канцелярских товаров или бутилированной воды в офис. А есть такие заказы, которые оформляются чаще вечером  — они связаны с личными покупками.  Сегодня рассмотрим два небольших кейса на эту тему.

Мини-кейс №1. Собственно — доставка воды.

Есть у нас клиент – компания, которая занимается доставкой воды. Мы решили протестировать с ним одну гипотезу – так как по всем источникам трафика у него заказов больше в период с 9 часов утра до 17 часов дня, то логично скорректировать ставки по контекстной рекламе с повышением ставки именно на это время. Гипотезу проверяли на определенных марках воды.

В итоге тестирования — количество заказов по рекламе выросло на 30%! Данные предоставлены клиентом.

[unisender_short_top]

Мини-кейс №2. Размещения в Telegram

Недавно решили прокачать свой канал в Телеграмме, и теперь заказываем платные посты в других каналах. Как понять, когда люди больше настроены подписываться и читать контент?

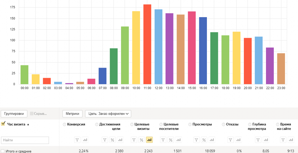
Проще всего посмотреть, когда люди читают контент в нашем блоге. Это уже хоть какие-то данные, на которые мы можем опираться:

Данные статистики

Итак! В период с 10 часов утра до 16 часов дня — идеальное время для размещения.

А что насчет дня недели?

Статистика

Видим, что с понедельника по четверг аудитория у нас самая активная ☺

Соответственно, когда нас спросят — когда размещаем пост? Мы ответим — с 10.00 до 16.00 с понедельника по четверг ☺

Также рекомендуем прочитать статью про: Чат-бот напоминатор – о важном не забудешь!

А вот так выглядят наши рекламные посты:

Рекламные посты

Но об этом мы расскажем в следующий раз. Интересно? Подписывайтесь на наш канал в Telegram — https://t.me/fireseo

До скорого!